更多精彩内容,点击下载 中国金融网APP 查看
相关新闻
-
近九成深市公司上半年实现盈利
2019年09月02日09时52分
-
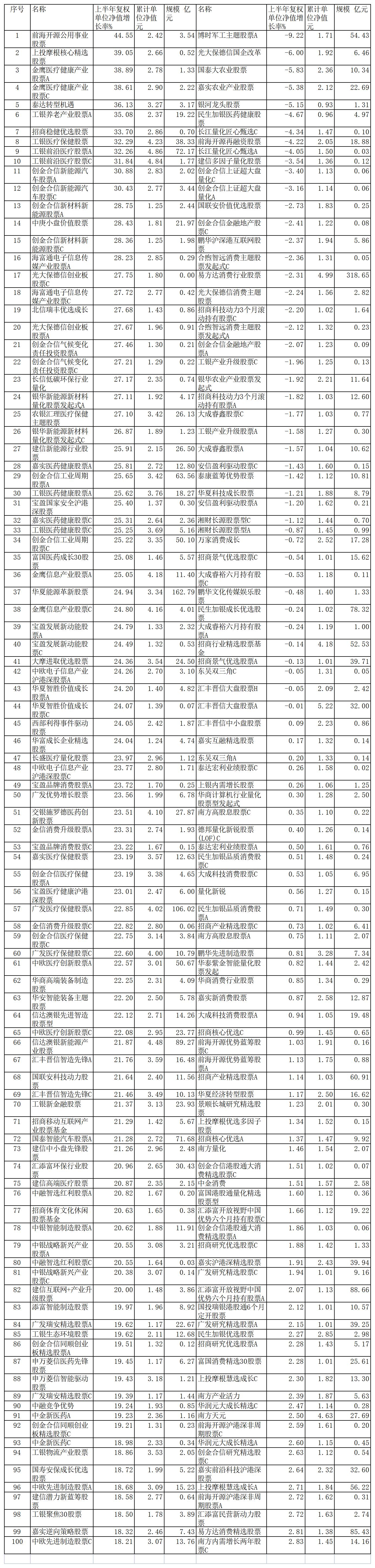
上半年股基平均收益率超23%
2019年07月02日10时13分
-
4月超九成股基上涨
2021年05月07日09时27分
-
近九成沪市公司上半年实现盈利
2019年09月02日10时11分
-
赛力斯2025年上半年净利润29.41亿元 同比增长81.03%
2025年08月30日17时54分
-
英科医疗2025年上半年各业务全线增长,净利润同比增长21.02%
2025年09月02日18时54分
关注金融网
