更多精彩内容,点击下载 中国金融网APP 查看
相关新闻
-
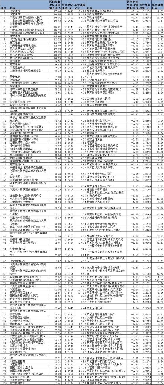
7月份四成QDII正收益
2022年08月03日10时18分
-
10月份四成QDII正收益
2022年11月03日09时37分
-
3月份6成QDII基金亏损
2021年04月06日09时55分
-
3月份近7成QDII正收益
2023年04月07日09时58分
-
10月份六成QDII正收益
2021年11月03日09时16分
-
11月份近三成QDII涨逾20%
2022年12月05日10时07分
关注金融网
