更多精彩内容,点击下载 中国金融网APP 查看
相关新闻
-
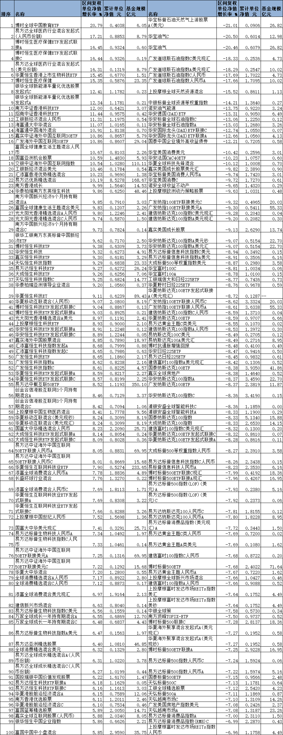
4月份QDII最高涨6%最深跌15%
2022年05月07日09时15分
-
7月份四成QDII正收益
2022年08月03日10时18分
-
10月份四成QDII正收益
2022年11月03日09时37分
-
6月份互联网主题QDII领跑
2020年07月07日09时48分
-
3月份6成QDII基金亏损
2021年04月06日09时55分
-
5月份黄金及原油QDII涨幅居前
2021年06月03日09时21分
关注金融网
